⓵║与瑞克和莫蒂无确切关系的影史话题:电影与欧洲流派
对任何艺术领域来说,灵感往往是易逝之珍。好似姝颜难驻,丰沃的创造之土可能贫瘠,璀璨的时代也会落幕。
这便是欧洲电影如今的境地。早在几十年前,欧洲艺术还曾华光万丈。因为过往的底蕴,也曾以艺术贵族的倨傲看待好莱坞。对古老的欧洲来说,后者气质伧俗,如同疲于奔命的商人毫无雍容。
当电影由美洲传入欧洲时,这位老贵族就试图抹去其中的资本主义色彩并将其归化于传统。如同打造中世纪的浮雕,即便形式刻板也不能有失庄严。
但遗憾的是,欧洲的银幕印象多年维系于旧时代的名望之上,不难发现值得称道的作品仍是早期的名作,如《大都会》(弗里茨·朗),《野草莓》,《第七封印》(英格玛·伯格曼),或《资产阶级的审慎魅力》(布努埃尔)等等 。
这在于欧洲的创作总被运动式的风潮所推动,艺术作品竞相争妍于一时。这些运动诸如先锋派,新现实主义或新浪潮,它们让创造力集中性爆发,同时也让欧洲电影被时代所划归。

然而曾经的欧洲已不富于春秋,艺术运动的精神变得陈旧。法国不会再出现戈达尔或特吕弗,如同德国不再有法斯宾德和茂瑙,意大利不再有安东尼奥尼或帕索里尼。
过于倚重曾经的积淀,便会导致艺术理念失之修缮。欧洲电影仍执迷于旧式的长镜头,自然主义或印象派的复兴之上。
自我的文化保护让它将好莱坞视为一种入侵,甚至为削弱其主导地位的制造了名为“Film Europe”的壁垒。但始料未及的是惟有好莱坞脱离了时代束缚,不曾出现创造力的中辍。这基于重商主义,但亦是谦逊和进取,让好莱坞成为历久弥新的创造之地。
⓶║电影艺术与好莱坞流派
欧洲为避免市井之气,力图在艺术中排斥工艺。这本是种工匠式的初衷,却不料让创造力怠惰,导致作品愈加乏善可陈。
而相较于电影业的同侪,好莱坞一度被指斥于追求浮华,被视为艺术的贩夫,如同大都会艺术馆被视为一座仓库。然而这个贩夫奋勇向前,毫无成见地接手各种文化,并让其焕发新的光辉;正如美利坚当初承继不列颠的光辉。

在大卫格里菲斯开辟出独创性的剪辑理念之后,好莱坞这座工厂便开始了自由的创作之路。正如刘别谦和茂瑙将他们的艺术嫁接到美国,好莱坞利用工艺之手让艺术常青。
它没有自闭的创作态度,也没有打算走进艺术乌托邦。它让创造不是徒然地踵事增华而是另辟蹊径。从《公民凯恩》到《卓别林》,或《教父》到《星球大战》……好莱坞不断地散发新枝。
从出产名作的角度来看,好莱坞也曾出现创造力的断层。当希区柯克和库布里克故世时,就曾被认为电影艺术的黄昏将至。
不过在新千年时期电影题材沦于流俗之时,却横空出现了《盗梦空间》这样的独到创意,它重新接续经典并带来新的活力。
而在人们担心创意的热潮会再度迎来冷却时,好莱坞这座工厂也再次带来惊喜,悄然无声地出品了新一代的命世之作:《瑞克和莫蒂》。

⓷║瑞克和莫蒂 如何突破天际
总的来说,这是一部打破了人们既定观念的科幻动画,彷佛为挑战人们的思维困境一般,它让想象力延申出了所有现存的疆域,展现出一篇似真非幻的宇宙游历,其中的科幻元素如同嘉年华彩条般喷薄而出。
它在第一时间便成为人们的新宠,从创意和制作水准来说,这部动画是美国科幻电影史中继《太空漫游》和《飞出个未来》之后又一高峰。
这是一部以家庭为单位的宇宙历险,是一部天马行空,神游物外的科幻动画。围绕着家庭的两位成员瑞克和莫蒂,展开一次次太空之旅。——瑞克有酗酒习性且心智狂热的科学家,他沉迷于宇宙探索。而作为他孙子和伙伴的莫蒂,却是个脑筋迟钝,毫无创见的中学生。不过瑞克每每在探险时都会带上这个笨拙的孙子。
瑞克的女儿,莫蒂的母亲 Beth,是一个动物心外科医师;她思想独立富于情感,不过却嫁给了一个庸碌愚钝的工薪族 Jerry。
除莫蒂外,他们还有一个并不太受重视的女儿 Summer ,她游走于瑞克和莫蒂之间,是这个家庭中不可或缺的调剂。

不是每个家庭成员都重视科学,至少杰瑞夫妇这对监护人反对瑞克捎带孩子外出。因为瑞克漠视道德说教,放纵莫蒂的天性,即便是考试作弊和追求异性;这也让莫蒂与外公达成了合作的默契。
《瑞克和莫蒂》是一部几乎没有冷场的动画,在一开始就展现出异乎寻常的情节紧凑性;——首先瑞克带着莫蒂去异次元摘取星际果实,且为了蒙混星际海关让莫蒂将其塞进屁眼,但在临检中却起一阵骚乱,将他们置于险象环生之中。

其次他们还被卷入外星人的模拟空间,起因是对方觊觎瑞克的浓缩暗物质配方。
此外莫蒂从杂货店带回一个外太空的性爱机器人,随后诞下了自己和外星人的混血儿。
《瑞克和莫蒂》的架构会让人感到似曾相识,这是因为它存在很多的前身。从体裁来看,诸如《德克斯特的实验室》《星际迷航》或《飞出个未来》,甚至包括《回到未来》,都是它所参照的作品。


这正是《瑞克和莫蒂》所善于利用的互文本元素,它还在多数情节上对电影素材有所借鉴。例如在亚马逊母系社会,那个漂浮的投放性爱机器人的头颅取材自:《萨杜斯》。


以及把莫蒂缩小发射到流浪汉体内的人体公园取材自:《侏罗纪》《惊异大奇航》和《终极细胞战》。

还有为了更改学分而误入了弗瑞迪(《猛鬼街》)的世界,同时穿梭于《盗梦空间》的多层梦境。此外由于瑞克的智慧改良器而成为智能物种的小狗们占领地球这个支线剧目来自《割草者》。


而这一切不过是这个动漫宇宙的预热,它的创意会层层升级,展现应接不暇的科幻艺术。而论及《瑞克和莫蒂》在第一季便奠定杰作地位,应格外归功于两个单集:(S1-6) 瑞克的药水 和(S1-10) 瑞克之触(瑞城),正是它们架设了这个动画蔚为大观的背景,以及勾勒出瑞克和莫蒂世界的文化体系。
⓸║第一季第六集(S1-6) 瑞克的药水
青春期的莫蒂充满对恋爱的渴求,对同学 Jessica 的爱慕让他心神恍惚,逆反期的他认为自己被瑞克漠视和利用,因此要求外公用科学帮助自己在情场制胜。
为打发他,瑞克制作了一瓶催情剂,药剂配方来自对伴侣专一的田鼠基因。催情药不负所望, Jessica 即刻迷恋上莫蒂。但即便最出色的科学也不能照料到所有意外,流感让催情药泛滥,整个世界都成为莫蒂的恋慕者。

为中和药水,瑞克以螳螂基因调制解药。然而轻微的误差再次出现,人类变异为巨型螳螂,它们渴望与莫蒂交配,然后吃下他的头。
发情的昆虫破坏城市,同时另一方面,杰瑞陷于对妻子出轨的臆想,他游走在怪物的城市中展开一场捉奸行动。
瑞克超常发挥,上演了一场基因学的艺术,不过莫蒂迫切希望终止眼前的混乱。瑞克混合了更多动物基因配制解药,但他的艺术再次升级,药物投放后,人类加深了变异,整个世界沦为柯南伯格的创作。


瑞克的手段让世界沦陷,他只能选择放弃这里,带莫蒂来到另一个平行现实。这里的瑞克和莫蒂正巧殒命于一场意外。

瑞克和莫蒂埋葬了死去的自己,并顶替他们在这世界继续生活下去。而同时两个柯南伯格形态的瑞克和莫蒂来到了他们离开的地方,寻找自己新的归宿。

迷离的世界
这个故事首次进入平行世界的领域:同样的人可能遭遇不同的命运。面对这一切,瑞克异常沉着;因为一个世界的自己死去,他的身份便再无意义。
然而少年莫蒂从未体验过这样的灾难,催情药毁灭了一个世界;随后自己还经历了一次死别,——亲手埋葬自己的尸体。
面对这具尸体,他感到难言的苦涩和对现实的质疑。自己在一天之内两世为人,同时历经生存和死亡,这让他疑惑眼前的世界是否真实。

尽管周围仍是同样的面孔,但另一个莫蒂的尸体埋在院中,在他们息居的土地之下。两座坟茔的印记证实这一切确然发生过。
人们如果见证自己的死亡,必然如莫蒂那样彷佛伫立于尸身之旁的灵魂,充满虚诞和迷惘。个体死亡无足轻重,平行宇宙让一切显得如此无稽。
同时莫蒂也会疑惑瑞克是否自己原本的祖父,因为平行宇宙并不存在个体的专属。或许正是破灭和生死才让瑞克如此理性,而此刻莫蒂也会开始明白这一切。

⓹║第一季第十集(S1-10) 瑞克之触(瑞城) Close Rick-Counters of the Rick Kind
在这一集,瑞克告诉我们,如果存在平行世界,自己是否会寻找其他的自己。
事件起因于一对邪恶的瑞克和莫蒂,他们跨越平行世界展开对瑞克的杀戮,并掠走莫蒂。
而在代号为 C-137 的地球上,瑞克和莫蒂成为了首要嫌疑人。他们被瑞克们带到瑞克之城——一个由各空间的瑞克和莫蒂们组建的城市。正因瑞克的天才让他成为众矢之的,这里便是瑞克们抵御威胁的同盟和庇护所。

C-137 瑞克被押解到瑞克委员会前受审,他对瑞克同盟的抗拒态度成为被怀疑的理由,并且他的传送枪被暗中植入了一个犯罪轨迹。
瑞克和莫蒂展开逃亡,经过周旋他们寻找到真凶的营地。对方以劫掠来的莫蒂制造了一个痛苦的矩阵以屏蔽追踪。

这个基地的瑞克是一个极端的反政府主义者,他俘虏了 C-137 瑞克,将莫蒂关押于专用的囚室。

看到等待屠戮的莫蒂们,C-137 莫蒂竟悍然发动了一场起义。他的演讲让莫蒂们寻找到真我,奋然冲出了牢狱。

愤怒的莫蒂们杀了邪恶瑞克,瑞城委员会前来收拾残局,但最后发现死去的瑞克只是个被远端遥控的傀儡。而幕后的操纵者——他的莫蒂,正和其他失去瑞克的莫蒂一道,被安置到新的家园。
社群和政府性的瑞克
就单集而论,瑞克之城是该系列的大成之作。它带来了前所未有的独创性,将这个动画推举到惊世之作的地位。
瑞克曾告诉莫蒂,与他搭档的理由是因为自己引人注目的脑电波需要一个愚者来中和。因此每个瑞克都会有一个莫蒂。
但并非最聪明的瑞克搭配最愚笨的莫蒂,除了磁场的中和,他们更多是气质上的同类;最瑞克的瑞克身边会有最莫蒂的莫蒂,Evil Rick 和 Doofus Rick 都有相似气质的莫蒂。


然而瑞克和莫蒂都可能死亡于意外,幸存者会被分配以新的搭档,这便是瑞城的功用。
政府的建立源于互助性,但起源上多少来自于原始父权;尽管瑞城竭力避免官僚化,但在具备组织和资源的调用能力时,仍会以威权迫使臣民就范。在瑞克被杀案件上,委员会的审判并没有比常规政府更具有建设性。

因此这里存在一种矛盾:瑞克最好的伙伴永远是莫蒂,而非其他瑞克。实际上每个瑞克都重视独立,而 C-137 瑞克尤具这个特质。
这就存在对社会的逆反,当自主性超越了社会需求,便萌生了反政府意识;在这一点上 C-137 Rick 和 Evil Rick 异常相似。
正因气质相近法则,C-137 莫蒂也具有和 C-137 瑞克同样的独立性和反抗意识,因此唯有他成为了莫蒂们的起义领袖。
尽管瑞城仍带有瑞克的特质,但社会和政府对瑞克的自主是危险的,因为这会削弱瑞克性。但另一方面来说莫蒂却适合托庇于组织型体系;团体易让强者对立,却不易让弱者分离。政府束缚着瑞克,却延伸了莫蒂。这扩张了他们的人格,导致 Evil Rick 愈加具有反政府特质,而 Evil Morty 愈加具有权术特质,让他能够反过来操纵瑞克。
人类天生的社会性扩大了彼此的交谊,然而同样会干涉人类的自我意愿。社会提供更宽泛的选择,但同时责成人们放弃自我标准。愿意坚守独立性的人会像 C-137 瑞克那样生活,但由于社会的嘉奖机制,人们更多地选择牺牲自我。正如 Doofus Rick 与杰瑞投契,但他仍须回归瑞城,因为他是一个瑞克。

⓺║独立的世界
《瑞克和莫蒂》的大背景建立于平行宇宙的构想,这是它最大的特点。但这并非严格意义上的量子物理并存性,因为所有空间不仅存在交互且彼此参预,因此带来了平行世界无尽的瑞克和莫蒂们的故事。
除了科学元素之外,这部动画也是迄今为止互文本运用最丰富的电影,它一面借鉴了大量素材,一面延申着自己的原始创意。
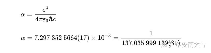
因此能在其中看到植入着暗示和隐喻的环节,例如瑞克之城这一集中所设定的地球坐标是精细结构常数的分母;恶魔的交易这一集的诅咒品商店中放置着一个艾美奖等等。


这部动画最受赞誉之处是其叹为观止的构思及狂热的灵感。的确,这是一批受到缪斯灵感眷顾的创作者,正如不可抑制的创造力的爆发,带来一出想象力的万花筒和科幻的嘉年华,每一出故事都让人凝神屏息直至结束。
在这之外,《瑞克和莫蒂》还具备尤其严谨的细节处理。这部作品一开始就旨在被打造为完美的作品,因此能看到从题材选取,艺术审美,乃至人文构思等方面,都被赋予精深的,精雕细琢的工笔;其每个细节都展示出整个创作团队的底蕴。

就细节来说最突出的便是它对于音乐的选取,其音乐与情境的匹配几乎臻至于太空漫游的高度。尤其表现在 S1-6 瑞克的药水,与 S1-10 瑞克之触这两集的片尾曲中:
look on down from the bridge - Mazzy Start (S1-6 片尾曲)
这首音乐安插在瑞克和莫蒂从柯南伯格世界回到正常世界的时刻。莫蒂审视周围的一切,感到无比迷惘。
此时的音乐带来一种空灵的忧郁,这正是见证自己死亡所产生的困惑。如同祭奠自己的哀歌,生死的茫然撕碎了过往,世界变得无常而黯淡。
对科学来说,宇宙本没有一种确定的真实。而对莫蒂来说,这只是一个开始。

For the Damaged Coda - Blonde Redhead (S1-10 片尾曲)
这首基于肖邦夜曲的音乐实际已面世近20年,但因为《瑞克和莫蒂》才让它广为人知。这首曲子传达出灵魂中幽深朦胧的感触,这是种难以描摹的情境。或许正是因此,才让《瑞克和莫蒂》与 Blonde Redhead 在瑞城中寻找到彼此。
当 Evil Morty 转身离开时,一个故事的帷幕逐渐降下。好像暮色四合,预表着阴影的来临。
此刻的 For the Damaged Coda 透出幽邃沉沦的意味,让人迷坠于渊暗的深空。这是写给世界和生灵的挽歌,是原始的哀吟,如同宇宙无尽的死亡和往复。与歌曲的名字一样,它传达出一层含义:这是一个尾声,亦是一个序曲。

⓻║瑞克和杰瑞
《瑞克和莫蒂》让人印象深刻的另一特点是周密的心理学塑造。其中的人物堪比陀思妥耶夫斯基创作的角色,能让每个独立人格引发出共情。
作为一部科幻动画,它却映现了深沉系统的社会人格,这是动画电影中罕有的成就。其中尤其能诠释人性特征的便是杰瑞和瑞克这两个人物。这两者如此对立:前者困顿于人生,而后者能创造神奇。正好比人们自发地对庸碌隐忧,以及对天赋崇拜。
瑞克的人格
对瑞克来说,他不曾有任何传统意义上的归宿,因他将生命划归给了科学。早年的他已曾体验过温情和失落。

在平行世界来说,不是所有瑞克都会成为天才,或许还会出现愚蠢的瑞克。但无论如何,瑞克都需要保持独立。
他不是博爱之人,一如他非邪恶之辈。只因科学必将揭露残酷,他只是立足于真相之上嘲笑世界。瑞克是无政府主义者,他强调个人的自洽和自足。他并不认同自然契约,因此他抗拒政府化的瑞城。
他是利己主义者,但就这个定义来说,他只是单纯地推崇主观价值。倘若认同某些意义,他也并不抗拒牺牲。
宇宙并无绝对的科学,正如没有绝对的神学。极端人格必然存在对立因素的对冲,都会寻找中庸的调和,如神需要崇拜,瑞克需要莫蒂。即便理性如瑞克,也不会彻底捐弃信仰。


杰瑞的人格
或许杰瑞比莫蒂更适合中和瑞克的脑电波,但他们之间却存在显然对立的偏执。
杰瑞带有虚妄的家长式自尊,只因家庭是他作为失败者唯一的信靠之所,而瑞克的行为却对这个环境带来了威胁。他不愿与生活的失败妥协,更担忧失去家庭的认同,因此竭力削弱瑞克的影响。
如果置身复杂的关系环境,杰瑞对自我身份的认同就会动摇。他更趋向单调形式的满足,以及需要更多的包容,哪怕这包容是保育和同性之爱。


杰瑞需要依附,无论是对子女或是 Beth ,这能保留他卑微的自尊。他对婚姻充满不安,因为 Beth 富有魅力并具有她父亲般的独立。
他几乎在任何沟通中都占据弱势,这也体现在婚姻中。对他来说最完美的一次性爱是在虚拟空间,作为虚体的 Beth 毫无反应,才让他全然主导了一次性爱。
与杰瑞的性格对等地,Beth 的生命也一直陷于缺憾中。尽管赋有出色的才干,她却易于酗酒,放纵和妥协,她的理想总是束之高阁。她时常埋怨杰瑞,对他们的婚姻表示懊丧,但最终总会发现他们难以离开彼此。

感情并非维系于彼此的优越,而在于缺陷的容纳。各自的缺憾却让她和杰瑞的感情天平达到一种平衡。
杰瑞的失败很大程度是因为被赋予过度的原始性人格,而欠缺社会进化,他对社会职能感到力不从心。这个角色放大了人格中的单一元素,塑造了薄弱的理性觉察而突出他的本能趋向。
他更适合原生态的生存关系,如果抛开社会要求,回归原始的杰瑞会更加优秀。他可以在危亡之际超常发挥,正像柯南伯格的世界,他会成为真正的丈夫和保卫者;而 Beth 也从不吝惜自己的嘉奖,这总能点燃他们的激情。


Beth 愿意回馈和鼓励她所爱的人,瑞克会利用她这一点,而杰瑞更愿陪伴和崇拜她。如她自己所说,杰瑞或许并不是完美伴侣,但他是最终没有离开的那个。


⓼║新的创意时代
在当下的影视业中,人们长期被灌输乏味的创作,这让观众的精神和审美都变得消极。
这归因于电视剧市场愈加致力于缩短利润周期,从而让作品流于平庸。而此时《瑞克和莫蒂》带来了新的冒险精神和文化内涵,它让人看到电影业中仍存在对美学的执着。
这不是一部追求利润最大化的电视作品,而是一直按部就班地打磨着自己的文化标志。
已经很多年没有一部剧集能让人如此翘首企盼,以其创意精神去触动这世界不同层级的观众。
这是一部创造文化的动漫,几乎难以找出同类电影与之比肩。就其产生的影响力来说,《瑞克和莫蒂》或许会成为下一个《哆啦A梦》,在未来它对美国的影响,也将如同后者对日本的影响。
