一般规定
3.1.1 建筑防烟系统的设计应根据建筑高度、使用性质等因素,采用自然通风系统或机械加压送风系统。
3.1.2 建筑高度大于50m的公共建筑、工业建筑和建筑高度大于100m的住宅建筑,其防烟楼梯间、独立前室、合用前室、共用前室及消防电梯前室应采用机械加压送风系统。
3.1.3 建筑高度小于等于50m的公共建筑、工业建筑和建筑高度小于等于100m的住宅建筑,其防烟楼梯间、独立前室、合用前室、共用前室及消防电梯前室应采用自然通风系统;当不能设置自然通风系统时,应采用机械加压送风系统。防烟系统的选择,尚应符合下列要求:
一、当独立前室或合用前室满足下列条件之一时,楼梯间可不设置防烟系统:
1) 采用敞开的阳台或凹廊;
2) 设有两个及以上不同朝向的可开启外窗,且独立前室两个外窗面积分别不小于2.0m2,合用前室两个外窗面积分别不小于3.0m2。
二、当独立前室、合用前室及共用前室仅有一道门连通走道时,且其机械加压送风口设置在前室的顶部或正对前室入口的墙面时,楼梯间可采用自然通风系统;当机械加压送风口未设置在前室的顶部或正对前室入口的墙面时,楼梯间应采用机械加压送风系统。
三、当防烟楼梯间在裙房高度以上部分采用自然通风时,不具备自然通风条件的裙房的独立前室、合用前室及共用前室应采用机械加压送风系统,且独立前室、合用前室及共用前室送风口的设置方式应符合本条第2款的要求。
3.1.4 建筑地下部分的防烟楼梯间前室及消防电梯前室,当无自然通风条件或自然通风不符合要求时,应采用机械加压送风系统。
3.1.5 防烟楼梯间及其前室的机械加压送风系统的设置尚应符合下列要求:
1 、当采用独立前室且其仅有一个门与走道或房间相通时,可仅在楼梯间设置机械加压送风系统;当独立前室有多个门时,楼梯间、独立前室应分别独立设置机械加压送风系统;
2 、当采用合用前室时,楼梯间、合用前室应分别独立设置机械加压送风系统;
3 、当采用剪刀楼梯时,其两个楼梯间及其前室的机械加压送风系统应分别独立设置。
3.1.6 封闭楼梯间应采用自然通风系统,不能满足自然通风条件的封闭楼梯间,应设置机械加压送风系统。当地下、半地下建筑(室)的封闭楼梯间不与地上楼梯间共用且地下仅为一层时,可不设置机械加压送风系统,但首层应设置有效面积不小于1.2m2的可开启外窗或直通室外的疏散门。
3.1.7 设置机械加压送风系统的场所,楼梯间应设置常开风口,前室应设置常闭风口;火灾时其联动开启方式应符合本规范5.1.3条规定。
3.1.8 避难层的防烟系统可根据建筑构造、设备布置等因素选择自然通风系统或机械加压送风系统。
3.1.9 避难走道应在其前室及避难走道分别设置机械加压送风系统,但下列情况可仅在前室设置机械加压送风系统:
1.避难走道一端设置安全出口,且总长度小于30m;
2.避难走道两端设置安全出口,且总长度小于60m。
自然通风设施
3.2.1 采用自然通风方式的封闭楼梯间、防烟楼梯间,应在最高部位设置面积不小于1.0m2的可开启外窗或开口;当建筑高度大于10m时,尚应在楼梯间的外墙上每5层内设置总面积不小于2.0m2可开启外窗或开口,且布置间隔不大于3层。
3.2.2 前室采用自然通风方式时,独立前室、消防电梯前室可开启外窗或开口的面积不应小于2.0m2,合用前室、共用前室不应小于3.0m2。
3.2.3 采用自然通风方式的避难层(间)应设有不同朝向的可开启外窗,其有效面积不应小于该避难层(间)地面面积的2%,且每个朝向的面积不应小于2.0m2。
3.2.4 可开启外窗应方便直接开启;设置在高处不便于直接开启的可开启外窗应在距地面高度为1.3m~1.5m的位置设置手动开启装置。
机械加压送风设施
3.3.1 建筑高度大于100m的建筑,其机械加压送风系统应竖向分段独立设置,且每段高度不应超过100m。
3.3.2 除本规范另有规定外,采用机械加压送风系统的防烟楼梯间及其前室应分别设置送风井(管)道,送风口(阀)和送风机。
3.3.3 建筑高度小于等于50m的建筑,当楼梯间设置加压送风井(管)道确有困难时,楼梯间可采用直灌式加压送风系统,并应符合下列规定:
1.建筑高度大于32m的高层建筑,应采用楼梯间两点部位送风的方式,送风口之间距离不宜小于建筑高度的1/2;
2.送风量应按计算值或本规范第3.4.2条规定的送风量增加20%;
3.加压送风口不宜设在影响人员疏散的部位。
3.3.4 设置机械加压送风系统的楼梯间的地上部分与地下部分,其机械加压送风系统应分别独立设置。当受建筑条件限制,且地下部分为汽车库或设备用房时,可共用机械加压送风系统,并应符合下列要求:
1、应按本规范第3.4.5条的要求分别计算地上、地下部分的加压送风量,相加后作为共用加压送风系统风量;
2、应采取有效措施分别满足地上、地下部分的送风量的要求。
3.3.5 机械加压送风风机宜采用轴流风机或中、低压离心风机,其设置应符合下列要求:
1、送风机的进风口应直通室外,且应采取防止烟气被吸入的措施;
2、送风机的进风口宜设在机械加压送风系统的下部;
3、送风机的进风口不应与排烟风机的出风口设在同一面上。当确有困难时,送风机的进风口与排烟风机的出风口应分开布置,且竖向布置时,送风机的进风口应设置在排烟出口的下方,其两者边缘最小垂直距离不应小于6.0m;水平布置时,两者边缘最小水平距离不应小于20.0m;
4、送风机宜设置在系统的下部,且应采取保证各层送风量均匀性的措施;
5、送风机应设置在专用机房内,送风机房并应符合现行国家标准《建筑设计防火规范》GB50016的规定;
6、当送风机出风管或进风管上安装单向风阀或电动风阀时,应采取火灾时自动开启阀门的措施。
3.3.6 加压送风口的设置应符合下列要求:
1 除直灌式加压送风方式外,楼梯间宜每隔2~3层设一个常开式百叶送风口;
2 前室应每层设一个常闭式加压送风口,并应设手动开启装置;
3 送风口的风速不宜大于7m/s;
4 送风口不宜设置在被门挡住的部位。
3.3.7 机械加压送风系统应采用管道送风,且不应采用土建风道。送风管道应采用不燃材料制作且内壁应光滑。当送风管道内壁为金属时,设计风速不应大于20m/s;当送风管道内壁为非金属时,设计风速不应大于15m/s;送风管道的厚度应符合现行国家标准《通风与空调工程施工质量验收规范》GB50243的规定。
3.3.8 机械加压送风管道的设置和耐火极限应符合下列要求:
1、竖向设置的送风管道应独立设置在管道井内,当确有困难时,未设置在管道井内或与其它管道合用管道井的送风管道,其耐火极限不应低于1.0h;
2、水平设置的送风管道,当设置在吊顶内时,其耐火极限不应低于0.5h;当未设置在吊顶内时,其耐火极限不应低于1.0h。
3.3.9 机械加压送风系统的管道井应采用耐火极限不低于1.0h的隔墙与相邻部位分隔,当墙上必须设置检修门时应采用乙级防火门。
3.3.10 采用机械加压送风的场所不应设置百叶窗,且不宜设置可开启外窗。
3.3.11 设置机械加压送风系统的封闭楼梯间、防烟楼梯间,尚应在其顶部设置不小于1m2的固定窗。靠外墙的防烟楼梯间,尚应在其外墙上每5层内设置总面积不小于2m2的固定窗。
3.3.12 设置机械加压送风系统的避难层(间),尚应在外墙设置可开启外窗,其有效面积不应小于该避难层(间)地面面积的1%。有效面积的计算应符合本规范第4.3.5条的规定。
机械加压送风系统风量计算
3.4.1 机械加压送风系统的设计风量不应小于计算风量的1.2倍。
3.4.2 防烟楼梯间、独立前室、合用前室、共用前室和消防电梯前室的机械加压送风的计算风量应由本规范第3.4.5~第3.4.8条的规定计算确定。当系统负担建筑高度大于24m时, 防烟楼梯间、独立前室、合用前室和消防电梯前室应按计算值与表3.4.2-1~表3.4.2-4的值中的较大值确定。
表3.4.2-1 消防电梯前室加压送风的计算风量

表3.4.2-2 楼梯间自然通风,独立前室、合用前室加压送风的计算风量

表3.4.2-3 前室不送风,封闭楼梯间、防烟楼梯间加压送风的计算风量

3.4.2-4 防烟楼梯间及合用前室分别加压送风的计算风量

注:
1、表3.4.2-1至表3.4.2-4的风量按开启2.0m×1.6m的双扇门确定。当采用单扇门时,其风量可乘以0.75系数计算;
2、表中风量按开启着火层及其上下两层,共开启三层的风量计算;
3、表中风量的选取应按建筑高度或层数、风道材料、防火门漏风量等因素综合确定;
4、对于有多个门的独立前室,其送风量按合用前室确定。
3.4.3 封闭避难层(间)、避难走道的机械加压送风量应按避难层(间)、避难走道的净面积每平方米不少于30m3/h计算。避难走道前室的送风量应按直接开向前室的疏散门的总断面积乘以1.0m/s门洞断面风速计算。
3.4.4 机械加压送风量应满足走廊至前室至楼梯间的压力呈递增分布,余压值应符合下列要求:
1、前室、封闭避难层(间)与走道之间的压差应为25Pa~30Pa;
2、楼梯间与走道之间的压差应为40Pa~50Pa;
3、当系统余压值超过最大允许压力差时应采取泄压措施。最大允许压力差应由本规范第3.4.9条计算确定。
3.4.5 楼梯间或前室的机械加压送风量应按下列公式计算:

式中:
Lj——楼梯间的机械加压送风量;
Ls——前室的机械加压送风量;
L1——门开启时,达到规定风速值所需的送风量(m3/s);
L2——门开启时,规定风速值下,其他门缝漏风总量(m3/s);
L3——未开启的常闭送风阀的漏风总量(m3/s)。
3.4.6 门开启时,达到规定风速值所需的送风量应按下式计算:

式中:
Ak——一层内开启门的截面面积(m2);
v——门洞断面风速;(m/s)
1) 当楼梯间和独立前室、合用前室均机械加压送风时,通向楼梯间和独立前室、合用前室疏散门的门洞断面风速均不应小于0.7m/s;
2) 当楼梯间机械加压送风、独立前室不送风时,通向楼梯间疏散门的门洞断面风速不应小于1.0m/s;
3) 当消防电梯前室机械加压送风时,通向消防电梯前室门的门洞断面风速不应小于1.0m/s;
4) 当独立前室、合用前室或共用前室机械加压送风且楼梯间采用可开启外窗的自然通风系统时,通向独立前室、合用前室或共用前室疏散门的门洞风速不应小于0.6(/+1)m/s;为楼梯间疏散门的总面积(m2);为前室疏散门的总面积(m2)。
N1——设计疏散门开启的楼层数量;
1) 楼梯间:采用常开风口,当地上楼梯间为24m以下时,设计2层内的疏散门开启,
取N1=2;当地上楼梯间为24m及以上时,设计3层内的疏散门开启,
取N1=3;当地下楼梯间时,设计1层内的疏散门开启,取=1;
2) 前室:采用常闭风口,计算风量时取N1=3。
3.4.7 门开启时,规定风速值下的其他门漏风总量应按下式计算:

式中:
A——每个疏散门的有效漏风面积(m2);疏散门的门缝宽度取0.002m~0.004m。
△P——计算漏风量的平均压力差(Pa);当开启门洞处风速为0.7m/s时,取△P=6.0Pa;当开启门洞处风速为1.0m/s时,取△P=12.0Pa;当开启门洞处风速为1.2m/s时,取=17.0Pa。
n——指数(一般取n=2);
1.25——不严密处附加系数;
N2——漏风电梯门和疏散门的数量:楼梯间采用常开风口,取=加压楼梯间的总门数-。
3.4.8 未开启的常闭送风阀的漏风总量应按下式计算:

式中:
Af——单个送风阀门的面积(m2);
0.083——阀门单位面积的漏风量(m3/s·m2);
N3——漏风阀门的数量:前室采用常闭风口取=楼层数-3。
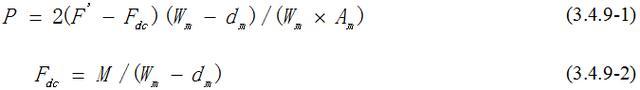
3.4.9 疏散门的最大允许压力差应按下列公式计算:

式中:
P——疏散门的最大允许压力差(Pa);
Am——门的面积(m2);
dm——门的把手到门闩的距离(m);
M——闭门器的开启力矩(N·m);
F——门的总推力(N),一般取110N;
Fdc——门把手处克服闭门器所需的力(N);
Wm——单扇门的宽度(m)